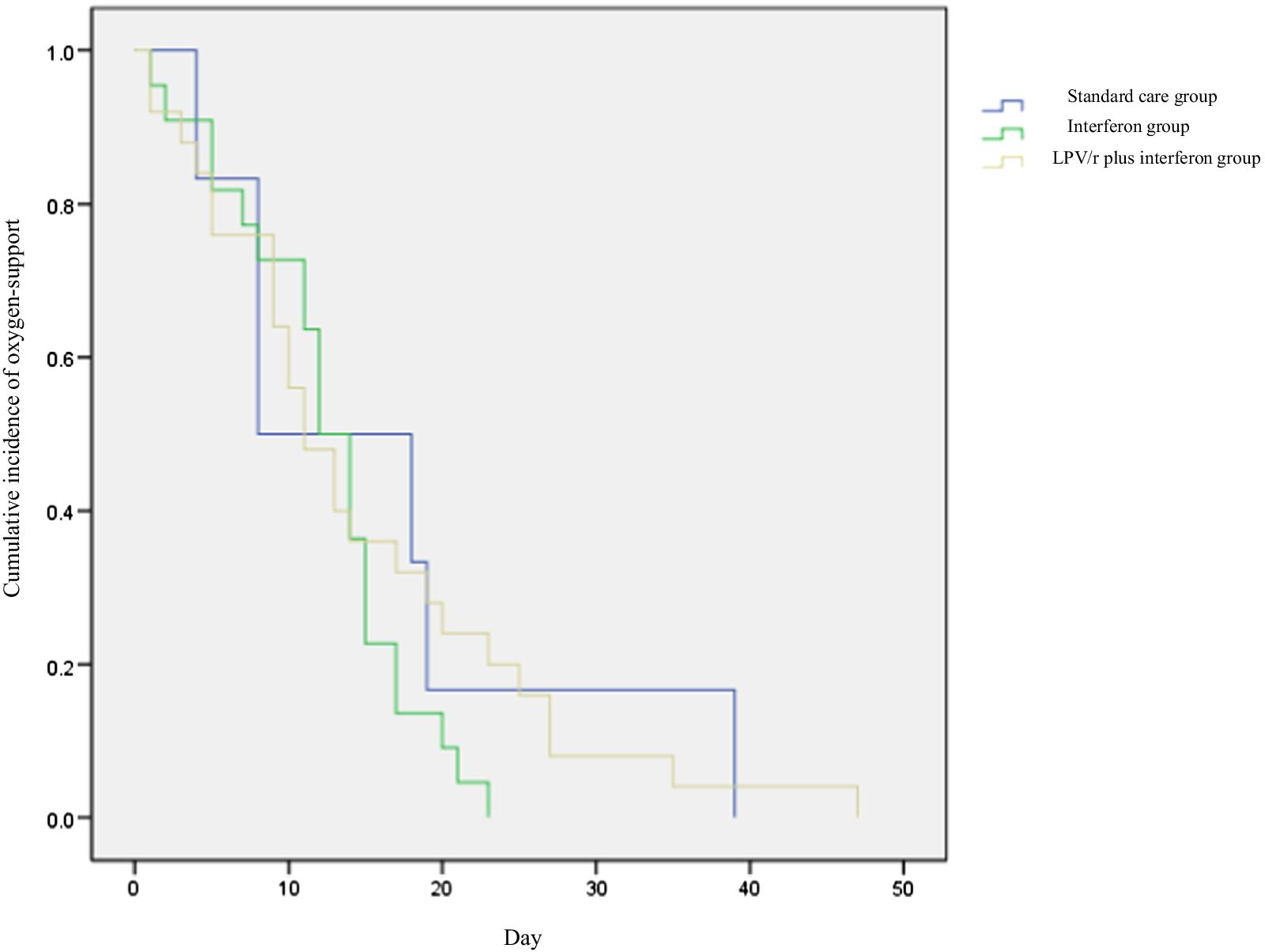
Fig. 2From: Comparative therapeutic efficacy of interferon alfa-2b and combination lopinavir/ritonavir plus interferon alfa-2b against SARS-CoV-2Cumulative incidence of required oxygen support from baselineBack to article page